Zlepšete konzistenci a spolehlivost separací v kapalinové chromatografii (LC) pomocí kolon Thermo Scientific™ Syncronis™ C8. Vysoce čistý silikagel s velkým specifickým povrchem a husté pokrytí stacionární fází minimalizují sekundární interakce a poskytují reprodukovatelné a vysoce účinné separace. Dvojité end-capping zajišťuje vyšší pokrytí povrchu a inertnost vůči bazickým sloučeninám. Kolony jsou vyráběny a důkladně testovány v zařízeních splňujících normu ISO 9000 a jsou navrženy pro širokou škálu analytických úloh, včetně rychlého vývoje metod, kvantitativní analýzy a kontroly kvality, zejména tam, kde je požadována nižší retence než u kolony C18.
Hlavní výhody:
- Silikagel s vysokou čistotou a velkým specifickým povrchem
- Méně hydrofobní než Syncronis C18
- Dvojité end-capping pro vyšší pokrytí povrchu
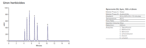
Příklady separací:

Obr. 1 Analýza uronových herbicidů na koloně Syncronis C8
Dostupné rozměry kolon Syncronis C8:

Více informací naleznete na: thermofisher.com/syncronis.
