Zlepšete konzistenci a spolehlivost separací v kapalinové chromatografii (LC) pomocí kolon Thermo Scientific™ Syncronis™ Amino. Kolony jsou vyráběny a důkladně testovány v zařízeních splňujících normu ISO 9000 a jsou navrženy pro širokou škálu analytických úloh včetně rychlého vývoje metod, kvantitativní analýzy a kontroly kvality. Silikagel s velkým specifickým povrchem, husté pokrytí stacionární fází a dvojité end-capping minimalizují sekundární interakce a zajišťují reprodukovatelné separace s vysokým rozlišením.
Hlavní výhody:
- Vysoce čistý silikagel s velkým specifickým povrchem
- Dvojité end-capping pro vyšší pokrytí povrchu
- Důkladně testováno pro zajištění kvality
Příklady separací:

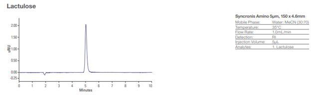
Obr. 1
Analýza lactulosy na koloně Syncronis Amino
Dostupné rozměry kolon Syncronis Amino:

Více informací naleznete na: thermofisher.com/syncronis.
